Feb 8, 2020
Pump Design to Feed an Elevated Water Storage Tank – Reduce NPSHr and Improve Efficiency

This blog post will show an example of a pump design task for a specific application, using the AxSTREAM® pump design and analysis code. Centrifugal pumps are designed to meet the requirements of head rise at the discharge, while at the same time the suction performance at the pump inlet must be free of cavitation over the entire operating range. This requirement places an additional constraint on a successful pump design and a good example of AxSTREAM® capabilities.
Pump Installation and Performance Requirements
The pump installation is illustrated in Figure 1. The pump will suck water from the bottom of a reservoir and discharge into a raised tank that is 145 feet above the pump. The pump should be designed for optimum efficiency and will be driven by a variable speed electric motor. The design flow rate is 2,000 gallons per minute (GPM) and it must operate free of cavitation at all operating points.

Figure 1. The pump installation showing the water reservoir feeding the pump inlet with a 15 feet total suction head, and the discharge tank that is at a height of 145 feet above the pump.
The key performance goals and requirements for the pump are summarized below:
Pumped liquid: water
Density, ρ: 62.3 lbm/ft3
Volume Flow rate: 2,000 GPM
Inlet Temperature, Tt1: 527.7 Rankine
Vapor Pressure, Pv: 0.46011 psi
Static Head Rise: 145 feet
Design and analysis approach
Using AxSTREAM Preliminary Design Solver, thousands of flow path geometries can be generated that satisfy the user defined boundary conditions and geometric parameters within given constraints. By determining key parameters such as suction cavitation performance early at the beginning of the design process, users can minimize development cost while maximizing the pump efficiency. In addition to being able to generate the optimum flow path and pump blades to meet the design point goals, users can also analyze off-design operating conditions for the pump in a system environment that can have changing boundary conditions, thus placing different requirements on the pump.
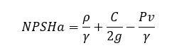
The pump type that was selected to meet these requirements is a single stage centrifugal impeller and vaneless diffuser, followed by a volute collector. The shaft rotation speed of the drive motor to meet the required flow and head rise condition will be determined iteratively during the optimization of the pump impeller blade and volute collector. The reason for this is that rotational speed of the impeller effects the minimum inlet pressure that is required in order to avoid cavitation at the impeller eye near the inlet. A key consideration which must be accounted for to prevent cavitation is the fluid pressure at the inlet, or more commonly referred to as the available net positive suction head (NPSHa). In this design example, we will assume that the top of the reservoir which the pump draws water from is at a height of 15 feet above the pump inlet. This height of fluid is called the “total suction head”. However, the available NPSHa is the total suction head in feet of liquid, minus the vapor pressure of the liquid being pumped, and is also a function of the static pressure of the fluid, which depends on the fluid velocity and the total pressure. The NPSHa is defined by the equation below, where C is the meridional velocity of the fluid at the pump impeller eye, Pv is the vapor pressure, ρ is the fluid density, g is the gravitational constant and γ is the viscosity.
If the height of the reservoir were to change, NPSHa must be calculated for the worse case condition, which would likely be at a lower height. The assumption made is that there is no loss of pressure through the duct between the reservoir and the pump inlet. Estimating the NPSHa is part of the iterative design process of the pump, since the velocity C must be calculated, which implies that the inlet area to the pump is known, and then calculated using the continuity equation and the flow rate. Therefore, this calculation will be performed with the AxSTREAM pump design and analysis code.
To start the design of the pump, we need to calculate the inlet pressure based on the 15 feet height of the column of water in the supply reservoir and convert it to pressure in terms of pounds force per square inch (psia). The inlet gauge pressure Pt1g in units of psig is calculated from the total suction head of 15 feet high water column in the supply reservoir. using the following equation, where ρ is the water density is 62.3 lbm/ft3.
The inlet gauge pressure is then converted to absolute pressure by adding the atmospheric pressure Patm at sea level of 14.7 psia, to obtain the inlet pressure Pt1a = 21.2 psia at the eye of the pump.
To meet these performance requirements, the AxSTREAM turbomachinery design and analysis code was used to generate the geometry of the flow path, the impeller blades and the volute collector. As part of the solution, the AxSTREAM code also calculates the NPSHa as well as the NPSH required to avoid cavitation (NPSHr) at all off-design operating conditions. Note that the estimates of NPSHr in the AxSTREAM® code are based on physics based first order models, that have been validated by experiments. However, during a later part of the design process once the flow path and blade geometry have been determined with the preliminary design module, the prediction of NPSH required can be further verified by analyzing the pump with a three dimensional CFD code named STAR-CCM+. The full 3D flow solution could then be surveyed to determine the local values of static pressure in the flow field, thus a comparison to the fluid vapor pressure would then result in the NPSHr, based on the CFD solution. This would be a verification of the predictive capability of NPSHr in the AxSTREAM® direct flow solver.
Pump Design
The key design requirements were input into the AxSTREAM® code, and the pump overall efficiency was specified as the optimization parameter. The code uses an inverse solver in which the overall pump performance is input in terms of design point flow rate and head rise, while the ranges of several design parameters and geometric constraints are also specified. The shaft speed of 2,500 RPM yielded a flow coefficient of 0.66 at 2,500 RPM and resulted in obtaining a pump design with the best efficiency point of 85%. Figure 2 shows the design space explorer illustrating the range of designs that could meet the design requirements, and the “applied” design, which was selected since it had the highest overall efficiency. The selected pump design has a flow coefficient of 0.63 and an overall efficiency of 85% at the best efficiency point.
Figure 3a illustrates the meridional view of the pump flow path, while 3b shows the entropy rise through the stage components. Component 1-2 is the impeller, component 2-3 is the vaneless diffuser and component 3-4 is the volute. A centrifugal impeller with 8 blades was designed, having a shroud with five labyrinth seal teeth to minimize the flow recirculation from impeller exit to the inlet.

Figure 3a. Meridional flow path from the preliminary design optimizer module. 3b. Stage entropy rise.
After the inverse design optimization of the pump, the resulting geometry was analyzed utilizing the 1D/2D direct streamline flow solver to confirm the key design performance numbers, mainly the head rise and the overall efficiency. Figure 4 shows the key performance parameters that resulted from the streamline analysis module in the code using 11 streamlines.
The design of the impeller blade obtained a smooth and continuous blade profile geometry from leading edge to the trailing edge, as well as from hub to tip, as illustrated in Figure 5.
The distribution of the impeller blade angles from the inlet to the outlet for all 11 streamline sections is shown in Figure 6. The change in beta angle near the impeller tip in the first 10 to 20% of the blade meridional length is low and on the order of 1 – 2 degrees. This means that the fluid dynamic loading is likewise low at this region, and therefore is a favorable design from a suction performance perspective.
The design code had several volute design configuration options to select from. The volute type that was selected is a constant inner diameter, variable exit diameter circular cross section type with circumferentially increasing area ,and is illustrated in Figure 7. The exit diffuser is a conical type with an area increase of 1.5 from the volute throat to the exit flange.

Figure 7. Volute featuring a constant inner diameter with a variable exit diameter circular cross section, and conical exit diffuser.
Pump Performance Characteristic Map
After the design of the pump meets the design performance goals, the next part of the design process is to generate a characteristic map at several speed lines. Static head rise as a function of shaft speed and flow rate is presented in Figure 8. Figure 8 shows the design point performance was met at 145 feet of static head rise at 2,000 GPM at the 2,500 RPM design speed.

Figure 8. The static head rise of the pump at the 2,500 RPM design speed, and at four lower speeds in 500 RPM increments.
The pump total pressure-rise and efficiency maps were also generated, and are shown in Figures 9 and 10.
Suction Performance Analysis at 15 feet of Suction Head
The next part of the design process is to analyze the suction performance to ensure that the pump can operate free of cavitation over the entire range of its characteristic map. Figure 11 illustrates the map of NPSH required in comparison to the NPSH available. The NPSH available is 49 feet, with the 15 feet of suction head, which produces 21.2 psia at the pump inlet. As is clear from Figure 11, the NPSH required is well below the NPSH available of 49 feet, at all speed lines and flows on the map. Therefore, there is ample margin for cavitation free performance through the entire pump characteristic map.

Figure 11. The NPSH required throughout the pump operating characteristic map, compared to the NPSH available, with 15 feet of suction head.
Suction Performance Analysis with reduced of suction head
If the water is pumped out of the reservoir without being replenished, eventually the water level would reduce from the initial height of 15 feet, thereby reducing the inlet pressure to the pump. This part of the design process is to further analyze the pump that was designed in order to determine the minimum water height (suction head) that can still provide adequate NPSH available at the pump inlet, which is still above the NPSH required to prevent cavitation. Running the AxSTREAM® code in the analysis mode with reduced levels of inlet pressure, results in the minimum inlet pressure Pt1a = 16.0 psia, which results in the NPSH available of 36 feet. This is substantially reduced from the previous case but is still above the NPSH required at all pump operating conditions, even at the highest flow rate. Figure 12 illustrates the plot of NPSH required with the reduced NPSH available.

Figure 12. The reduced pump inlet pressure of 16 psia results in NPSH available that is just above the NPSH required at the highest flow of the 2,500 RPM speed line.
Knowing the minimum inlet pressure that will still produce adequate NPSH available, we can now calculate the height of water in the reservoir that would produce the pump inlet pressure of 16.0 psia. The pump inlet pressure Pt1a = 16.0 psia is equivalent to Pt1g = 1.7 psig above atmospheric pressure at sea level. Using the previously mentioned equation, but rearranging it to solve for suction head, the height of water that produces Pt1g = 1.7 psig, is calculated as follows.
The result is that the minimum height (suction head) of water in the reservoir which can still provide adequate pressure to the pump inlet and allow it to operate free of cavitation is 3.0 feet. Figure 13 illustrates the minimum reservoir height condition at which the pump can still be operated free of cavitation even at the maximum shaft RPM and at the highest flow rate.
If the water level drops below 3 feet of suction head, the pump would need to be shut down to prevent pump vibration and eventual damage due to cavitation.
Interested in learning about how you can use AxSTREAM for early cavitation prediction? Learn more and request a software trial here
"*" indicates required fields











