Feb 13, 2019
2.3 Geometric and Strength Model

Key Symbols
Indexes and Other Signs
Abbreviations
2.3.1 Statistical Evaluation of Geometric Characteristics of the Cascade Profiles
For accurate estimates of the size of the blades, which takes into account not only their aerodynamic properties and conditions of safe operation, it is required to calculate the set of dependent geometric characteristics of the profiles (DGCP) as a function of a number of parameters that determine the shape of the profile. When the shape of the profiles is not yet known, to assess DGCP should use statistical relations. From the literature are known attempts to solve a similar problem [25, 26] on the basis of the regression analysis.
The DGCP include: f – area; Ie and In minimum and maximum moments of inertia;Iu – moment of inertia about an axis passing through the center of gravity of the cross section parallel to the axis of rotation u; φ the angle between the central axis of the minimum moment of inertia and the axis u; Χgc,Υgc the coordinates of the center of gravity;βi – stagger angle;lss – the distance from the outermost points of the edges and suction side to the axis Ε; lin, lout – the distance from the outermost points of the edges to the axis Ν; We, Wss, Win, Wout, – moments of profile resistance.
The listed DGCP values most essentially dependent on the following independent parameters (IGCP) β1g – geometric entry angle; β2eff – effective exit angle; b – chord; t/b – relative pitch; r1, r2 – edges radii; ω1, ω2 – wedges angles.
Formal macromodelling techniques usage tends to reduce the IGCP number, taking into account only meaningful and independent parameters. In this case, you can exclude from consideration the magnitude of r1, r2, ω2 taking them equal r1 =0.03b; r2=0.01b ; ω2=0.014Kωω1/(0.2 +ω1) , Kω = 1…3 , depending on the type of profile [26].
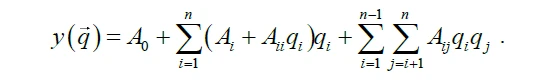
We obtained basic statistical DGCP relationships using profiles class, designed on the basis of geometric quality criteria – a minimum of maximum curvature of high order power polynomials [15] involving the formal macromodelling technique. Approximation relations or formal macromodel (FMM) are obtained in the form of a complete quadratic polynomial of the form (1.2):
The response function y(q ⃗’) values (DGCP) corresponding to the points of a formal macromodelling method, calculated by the mathematical model of cascades profiling using geometric quality criteria.
Analysis of profiles used in turbine building reveals, that two of remaining four IGCP β1g and t/b highly correlated.
It is advisable to use in place of these factors their counterparts – the flow rotation angle in the cascade θ and the parameter Δt=t/b-T, where T=1.08-0.004θ linear regression equation that specifies the statistical relationship between the relative pitch and angle of rotation of the flow, the resulting data for typical turbine cascade.
Thus, informal macromodelling as IGCP were taken:θ, β2e , ω1, Δt relatively in ranges 20…120, 10…30, 20…30, –0.2…0.2. In normalized form in the range of –1…1 the factors are calculated as follows:
During macromodelling were designed 25 turbine cascades with b =1 and with IGCP values, corresponding to the points in the of numerical experiment plan, were calculated DGCP values and the dependencies on the form (1.2) built for them. Calculation of flow diagrams and loss factors confirms the high aerodynamic quality of the 25 profile cascades.
In Tables 2.3, 2.4 the FMM coefficients and variance of the cascades DGCP FMM are given. In the tables FMM coefficients increased by 104. Similar relationships were also obtained for a special class of nozzle profiles with an elongated front part [26].
2.3.2 Strength Models
On the choice of cascade’s optimal gas dynamic parameters significantly affect the strength limitations, which, in turn, is largely dependent on the flow path design.
For example, the calculation of splitted diaphragms strength based on using a simplified scheme, according to which the diaphragm is considered as a semi-circle rod (band with a constant cross-section), loaded with unilateral uniform pressure and supported on the curved outer contour[27]. This approach allows us to evaluate the maximum stress in the diaphragm and is sufficient to
assess the strength of the diaphragm at the stage of conceptual and technical design.
Calculation of the blades strength is carried out using the beam theory that restrict computer time to evaluate the tensile and bending stress, for example, using statistical data on profiles, as shown in Section 2.3.1.
To ensure the vibration reliability of blading, rotor blades requires detuning from resonance, i.e., the natural frequencies of the blades should not coincide with the frequency of the disturbing forces that are multiples of the frequency of rotation. The required for detuning dynamic (depending on rotation speed) the first natural frequency of the blade is defined by a simplified formula.
"*" indicates required fields






